铌基富氢超导体的发现
来源: 中科院物理研究所 发布时间:2024-08-14
高压极端条件可以创造常压难以形成的新结构,赋予材料新的功能特性,为实现和拓展满足特殊需求的材料构效提供独特机遇。中国科学院物理研究所/北京凝聚态物理国家研究中心极端条件物理重点实验室靳常青团队长期开展高压极端条件新材料制备及功能研究,设计研发了具有自主知识产权的先进的高压、低温、强场和激光在位加热联合实验装置,可进行超高压高温合成和在位物性表征。运用以上极端条件技术,他们相继揭示了系列高压诱的极端条件材料构效,包括关联体系、拓扑、聚合物等新兴功能材料体系(PNAS 116, 12156(2019); NPG Asia Materials 11, 60(2019); Angew Chem Inter 59, 8240(2020); Nature Communications 12, 747(2021); Nature Communications 13, 5411(2022); Chem. Mater. 34, 97(2022); Advanced Materials 34, 2106728(2022); Advanced Materials 35, 2209759(2023)).
高压富氢化合物的理论预测和实验发现引发了对新型富氢化合物材料和超导的研究。靳常青团队近期相继独立实验合成发现210K以上的钙基富氢超导材料(Nature Communications 13, 2863(2022))、首个4d二元富氢高温超导材料(Science Bulletin 67, 907 (2022))、首个5d二元富氢高温超导材料(Material Today Physics 27, 100826 (2022))、首个重稀土二元富氢高温超导材料(Science China-Physics Mechanics & Astronomy 66, 267411 (2023))、首个VB过渡族金属二元富氢超导材料TaH3(Chin. Phys. Lett. 40, 57404 (2023) (Express Letters))。
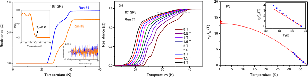
近期,靳常青研究员指导博士生何鑫等人在过渡族金属氢化物超导新材料研究上取得进展,研制发现首个铌基富氢超导材料。团队运用先进的超高压金刚石压砧实验技术,在187 GPa高压和2000 K的高温成功制备铌基富氢材料。高压在位电输运测量实验揭示,该铌基富氢化物在187 GPa呈现Tc=42的超导性质。外加磁场的超导性质研究表明,超导体在零温的上临界场约为13T。同步辐射实验结果分析显示超导性质可能源于具有面心立方结构NbH3(Fm-3m)。在该晶体结构中,氢原子分别占据Nb面心立方晶格的四面体和八面体空隙位置,形成H14笼状结构,相邻H~H的最小间距约为1.77 Å。目前Tc高于200K的LaH10、YH9和CaH6富氢超导体,H~H最小距离约为1.0Å,而NbH3的H~H最小间距则显著拉长。实验结果表明,对于如此大的H~H距离,氢原子之间仍能形成导电通道并实现超导。本研究进一步拓展了富氢高温超导材料的范畴,为高温超导机理研究提供了新素材。
相关研究成果发表在Mater Today Phys 40, 101298 (2024)上,博士研究生何鑫、张昌玲、李芷文、卢可为共同一作,靳常青研究员和望贤成研究员为共同通讯作者;高压晶体结构表征在美国先进光源开展,得到北京高压科学中心刘浩哲研究员团队的密切协作。研究工作得到了得到基金委、科技部和中国科学院项目的资助。

图1:实验报道的二元富氢化合物高温超导体的最高超导温度及相应压力(本团队独立实验合成发现了钙基、锆基、铪基、钽基、铌基和锑基等二元富氢超导材料)。

(a) (b) (c)
图2:(a)铌富氢化合物高压在位电学表征,显示Tc=42K超导转变;(b)超导温度随外加磁场向低温移动;(c)上临界场随温度变化及其GL公式拟合。

图3:高压在位X光衍射数据和精修晶体结构示意图。
版权与免责声明
【1】本网站凡注明“学会秘书处”的所有作品,版权均属于四川省金属学会所有,未经书面授权,任何媒体、网站或个人不得转载、摘编或利用其它方式使用上述作品。已经本网站协议授权的媒体或网站,应在授权范围内使用上述作品,并注明“来源:四川省金属学会”。违者本网站将追究其相关法律责任。
【2】本网站凡注明“来源:XXX(非学会秘书处)”的作品,均转载自其它媒体,登载此作品出于传递更多信息之目的,不代表学会观点或证实其描述,不对其真实性负责。作品内容仅供参考,如转载稿件涉及版权等问题,请在两周内来电或来函与四川省金属学会联系。
